Долги «НЭСК» перед внешними кредиторами приблизились к 69 млрд сомов
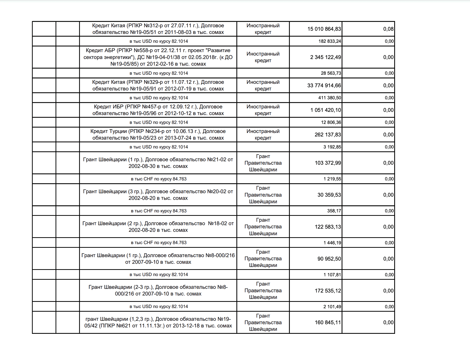
Долги ОАО «Национальная электрическая сеть Кыргызстана» («НЭСК») перед иностранными кредиторами по состоянию на 1 мая 2022 года составили 68 млрд 753 млн сомов. Такие данные опубликовала пресс-служба Минфина.
Согласно представленной информации, компания практически не имеет просроченной задолженности и исполняет свои обязательства в срок.
Напомним, что задолженность другой крупной энергокомпании «Электрические станции» перед донорами на 1 мая составила 43.4 млрд сомов. При этом текущая задолженность составляет 905 млн сомов, просроченная — 297.7 млн сомов.




